Reeling in the Whirlpool galaxy: Distance to M 51 clarified through Cepheids and the type IIP supernova 2005cs
A brief summary of the scientific motivation, the dual-distance analysis, and the main conclusions of this first-author paper.
Key result: We obtained the first published Cepheid distance to M 51 and found it to be fully consistent with an independent distance derived from spectral modelling of SN 2005cs. The two methods yield 7.59 ± 0.30 Mpc and 7.34 ± 0.39 Mpc, respectively, clarifying the distance to the Whirlpool galaxy at the 4–5% level.
Motivation
The Whirlpool galaxy, M 51, is one of the best-known nearby galaxies and has been studied in extraordinary detail. Yet its distance has remained surprisingly uncertain. Published estimates span roughly 6 to 9 Mpc, and different methods do not always agree. This makes M 51 an excellent target for a direct comparison between independent distance indicators.
The aim of this paper was to revisit the distance to M 51 using two complementary approaches: Cepheid variables and the type IIP supernova SN 2005cs. Cepheids are one of the classic rungs of the cosmic distance ladder, while Type II supernovae provide an independent route through radiative transfer modeling. Comparing the two within the same galaxy offers a powerful cross-check on systematic uncertainties.
Method
For the Cepheid distance, we analysed a recently published Hubble Space Telescope catalogue of variable stars in M 51. By applying quality cuts based on light-curve behaviour and the colour-magnitude diagram, we selected a clean sample of Cepheids and used their period-luminosity relation to infer the galaxy distance. This yielded the first published Cepheid-based distance estimate for M 51.
Figure 1. The cleaned Cepheid sample in M 51 and the resulting period-luminosity relation used to infer the first published Cepheid distance to the galaxy.
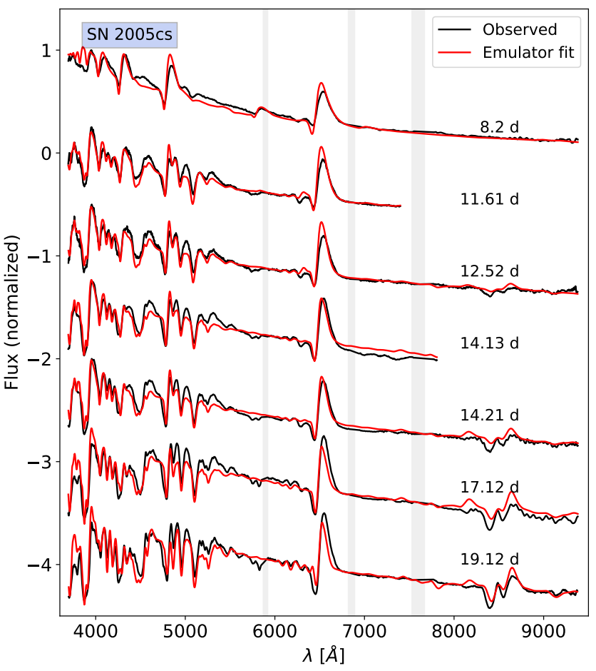
For SN 2005cs, we applied an emulator-based spectral fitting technique that provides fast and reproducible estimates of the physical parameters of the supernova atmosphere. These spectral models were then incorporated into an augmented version of the Expanding Photosphere Method, allowing us to derive a precise supernova-based distance independently of the Cepheid analysis.
Figure 2. Spectral modelling of SN 2005cs which provides the relevant physical parameter estimates at each epoch along with an independent distance to M 51.
Main result
The two analyses yield distances of DCep = 7.59 ± 0.30 Mpc and D2005cs = 7.34 ± 0.39 Mpc for the Cepheid and supernova methods, respectively. These results are fully consistent within 1σ uncertainties and both are more precise than most earlier measurements for M 51.
Figure 3. Comparison between the Cepheid and SN 2005cs distance estimates for M 51, together with previous measurements from the literature.
This agreement is especially important because it links two genuinely independent distance indicators within the same galaxy. The result supports the reliability the supernova-based approach and shows that direct cross-checks of this kind can help quantify systematic uncertainties in nearby-galaxy distances.
At the same time, our results are significantly lower than some commonly adopted TRGB distances to M 51, which highlights that even for very well-known galaxies, the distance scale can remain method-dependent. The study therefore illustrates why direct comparisons between different techniques are essential for improving the precision and robustness of local-universe cosmology.
